13 เมษายน 2568
แปลและเรียบเรียงบทความโดย: อดิศร สุขสมอรรถ
ตรวจทานและพิสูจน์อักษร : คมส์ธนนท์ ศุขอัจจะสกุล

ในช่วงต้นเดือนเมษายน 2025 เกิดความผันผวนทางเศรษฐกิจไปทั่วโลก เมื่อ โดนัลด์ ทรัมป์ ประธานาธิบดีสหรัฐฯ ประกาศใช้นโยบายภาษีศุลกากรตอบโต้ (Reciprocal Tariffs) กับนานาประเทศที่ผู้นำสหรัฐฯ อ้างว่าได้เปรียบดุลการค้ากับทางสหรัฐฯ
มาตรการที่ประกาศใช้เมื่อวันที่ 2 เมษายน และประกาศระงับเป็นเวลา 90 วันในสัปดาห์ถัดมา (ยกเว้นสาธารณรัฐประชาชนจีนที่ถูกตอบโต้ด้วยอัตราภาษีศุลกากร 145%) ส่งผลกระทบต่อเศรษฐกิจไปทั่วโลก มูลค่าตลาดหลักทรัพย์เวียงตัวอย่างฉับพลัน ความไม่แน่นอนดังกล่าวนำไปสู่ความกังวลว่าอาจนำไปสู่ภาวะเศรษฐกิจถดถอยทั่วโลกภายในปี 2025 นี้
อย่างไรก็ดี อัตราภาษีศุลกากรก่อนหน้าคำสั่งระงับที่กำหนดโดยรัฐบาลโดนัลด์ ทรัมป์ สร้างความกังขาไปทั่วโลกถึงความถูกต้องในการคำนวณ เนื่องจากไม่มีการนำปัจจัยที่เกี่ยวข้องมาใช้คำนวณ ส่งผลให้อัตราภาษีศุลกากรตอบโต้ต่อนานาชาติสูงกว่าความเป็นจริงอย่างมาก โดยก่อนคำสั่งระงับ ประเทศไทยเคยโดนตอบโต้ด้วยอัตราภาษีศุลกากรที่ 36%

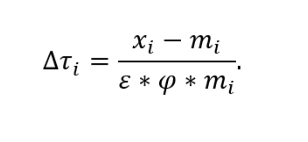
สูตรคำนวณอัตราภาษีศุลกากรตอบโต้ของสหรัฐฯ
เว็บไซต์ของสำนักงานผู้แทนการค้าสหรัฐฯ (United States Trade Representative : USTR) เผยแพร่สูตรคำนวณอัตราภาษีศุลกากรตอบโต้ของสหรัฐฯ
โดยกำหนดให้ ∆τi คือ อัตราภาษีศุลกากรตอบโต้ของสหรัฐฯ ซึ่งเป็นผลที่เกิดจากการนำค่าต่าง ๆ มาคำนวณ ได้แก่
i คือ ประเทศที่เป็นคู่ค้ากับสหรัฐฯ
xi คือ มูลค่าการส่งออกสินค้าของประเทศ i มายังสหรัฐฯ
mi คือ มูลค่าการนำเข้าสินค้าของต่างประเทศ i จากสหรัฐฯ
ε คือ ความยืดหยุ่นของอุปสงค์ต่อราคาสินค้านำเข้า (ความรู้สึกของผู้ซื้อของราคาสินค้าที่สูงขึ้น)
φ คือ ความยืดหยุ่นของราคาสินค้านำเข้าเมื่อเทียบกับภาษีศุลกากร (โอกาสที่ราคาจะเพิ่มขึ้น)

USTR กำหนดให้ ε มีค่าเท่ากับ 4 และ φ มีค่าเท่ากับ 0.25
จากนั้นจึงหาค่า ∆τi ด้วยการนำ xi ลบ mi แล้วหารด้วยผลคูณของ ε φ และ mi
ตัวอย่าง สูตรคำนวณอัตราภาษีศุลกากรตอบโต้ประเทศไทย
ข้อมูลของ USTR ระบุว่าปีที่แล้วสหรัฐฯ ขาดดุลการค้าต่อประเทศไทยเป็นเงินมูลค่า 4.56 หมื่นล้านดอลลาร์สหรัฐฯ
จากการนำเข้าสินค้าของไทยมูลค่า 6.33 หมื่นล้านดอลลาร์สหรัฐฯ และการส่งออกสินค้ามาไทยมูลค่า 1.77 หมื่นล้านดอลลาร์สหรัฐฯ
เมื่อนำตัวเลข 1.77 หมื่นล้าน ลบ 6.33 หมื่นล้าน เท่ากับ -4.5 หมื่นล้าน
4 คูณ 0.25 เท่ากับ 1 จากนั้นนำ 1 มาคูณกับ 6.33 หมื่นล้าน เท่ากับ 6.33 หมื่นล้าน
นำ 4.5 หมื่นล้าน มาหารด้วย 6.33 หมื่นล้าน เท่ากับ -72
เมื่อนำ -72 มาหาร 2 เท่ากับ -36 จะทำให้ประเทศไทยมีอัตราภาษีศุลกากรนำเข้าสินค้ามายังสหรัฐฯ ที่ 36%

ข้อได้เปรียบทางการค้า ไม่ใช่ข้ออ้างการใช้ “ภาษีศุลกากรตอบโต้“
คิมเบอร์รี คลอสซิง ผู้เชี่ยวชาญจากสถาบัน Peterson Institute for International Economics ชี้แจงว่า ตัวเลขที่ โดนัลด์ ทรัมป์ เปิดเผยต่อชาวโลก ไม่ใช่อัตราภาษีศุลกากรที่นานาชาติมีต่อสหรัฐฯ แต่เป็นข้อได้เปรียบทางการค้าที่แต่ละประเทศมีต่อสหรัฐฯ
ตัวเลขเหล่านี้ไม่ได้สะท้อนอุปสรรคทางการค้าของสหรัฐฯ ที่แท้จริง ซึ่งนักเศรษฐศาสตร์เกือบทั้งวงการต่างลงความเห็นว่าเป็นสูตรการคำนวณอัตราภาษีศุลกากรตอบโต้ที่ผิดหลักวิชาการ
เอริกา ยอร์ก รองประธานฝ่ายวิเคราะห์นโยบายภาษีของรัฐบาลกลางสหรัฐฯ ของสถาบัน Tax Foundation อธิบาย วิธีการคำนวณอัตราภาษีศุลกากรตอบโต้ของรัฐบาลโดนัลด์ ทรัมป์ เป็นเรื่องขาดสามัญสำนึก พวกเขาไม่ใช้ปัจจัยที่ส่งผลต่อการคิดอัตราภาษีศุลกากรตอบโต้มาคำนวณแม้แต่น้อย ทั้ง ภาษีศุลกากร มาตรการกีดกันทางการค้าที่มิใช่ภาษี หรือการกีดกันทางการค้ารูปแบบอื่น ๆ ที่เกิดขึ้นในต่างประเทศ
ตัวเลขที่คิดขึ้นมาเองครั้งนี้ ไม่มีความเกี่ยวข้องกับนโยบายที่พวกเขาประกาศใช้แม้แต่น้อย
หนังสือพิมพ์ New York Times อธิบายว่า ความแตกต่างระหว่างตัวเลขการนำเข้าและส่งออก ไม่ได้แปลความหมายเป็นอุปสรรคทางการค้าเสมอไป เพราะแต่ละประเทศมีความจำเป็นในการนำเข้าหรือส่งออกสินค้าไม่เหมือนกัน ดังนั้นการได้เปรียบดุลการค้าไม่ได้แปลว่าเป็นเรื่องดีเสมอไป เช่นเดียวกับการขาดดุลการค้าไม่ได้แปลว่าเป็นเรื่องแย่เสมอไป
คิมเบอร์รี คลอสซิง ยกตัวอย่างว่า ถ้าสหรัฐฯ ทำการค้ากับประเทศหมู่เกาะที่ประชากรมีรายได้ต่ำ สหรัฐฯ นำเข้ามะม่วงจากหมู่เกาะมูลค่า 100$ แต่คนในประเทศหมู่เกาะมีเงินซื้อสินค้าจากสหรัฐฯ แค่ 20$
ถ้าคิดตามสูตรของรัฐบาลโดนัลด์ ทรัมป์ (20 ลบ 100 = -80 แล้วนำ 80 หาร 2 = 40) เท่ากับว่าประเทศหมู่เกาะจะต้องส่งออกมะม่วงมายังสหรัฐฯ ด้วยภาษีศุลกากรที่สูงขึ้น 40% ทั้ง ๆ ที่ประเทศหมู่เกาะไม่ได้มีมาตรการกีดกันทางการค้าต่อสหรัฐฯ แต่เพียงเพราะมีกำลังผลิตสินค้าให้ชาวอเมริกัน มากกว่ากำลังซื้อสินค้าที่ผลิตในสหรัฐฯ เท่านั้น

ภาษีแพง เพราะแทนค่า φ ผิดจากความเป็นจริง
นอกจากนี้ การแทนค่า φ เท่ากับ 0.25 ของรัฐบาลโดนัลด์ ทรัมป์ ยังสร้างเสียงโต้แย้งจากผู้เชี่ยวชาญในแวดวงเศรษฐศาสตร์
เนื่องจากค่าความยืดหยุ่นของราคาสินค้านำเข้าเมื่อเทียบกับภาษีศุลกากร ตามหลักการแล้วควรจะมีค่าใกล้เคียงกับ 1
หากมีการคำนวณอัตราภาษีศุลกากรตอบโต้ของสหรัฐฯ ตามค่า φ ที่นักเศรษฐศาสตร์แนะนำ ประเทศไทยจะมีอัตราภาษีศุลกากรนำเข้าสินค้ามายังสหรัฐฯ เพียง 8.8% เท่านั้น

ภาษีศุลกากรตอบโต้ใช้แม้กับประเทศที่สหรัฐฯ ได้ดุลทางการค้า
ความผิดปกติของมาตรการภาษีศุลกากรตอบโต้ของรัฐบาลโดนัลด์ ทรัมป์ ยังรวมถึงการคิดภาษีศุลกากรตอบโต้ขั้นต่ำ 10% กับประเทศที่สหรัฐฯ ได้ดุลทางการค้าอยู่แล้ว ทั้ง สหราชอาณาจักร และ สิงคโปร์
นอกจากนี้ การนำดุลการค้าของสินค้ามาคำนวณภาษีศุลกากร โดยไม่นำดุลการค้าจากบริการของสหรัฐฯ กับนานาประเทศ ซึ่งสหรัฐฯ ได้เปรียบดุลการค้ากับหลายประเทศอยู่แล้ว วิธีคำนวณดังกล่าวจึงทำให้นโยบายทางการค้าระหว่างประเทศไม่สะท้อนภาพรวมที่แท้จริง
ผลกระทบต่อชาวอเมริกันจากนโยบายภาษีศุลกากรตอบโต้ของรัฐบาลโดนัลด์ ทรัมป์
ความเข้าใจผิดของ โดนัลด์ ทรัมป์ ต่อนโยบายภาษีศุลกากรตอบโต้ ยังมาจากการอ้างว่า การขึ้นภาษีศุลกากรกับสินค้านำเข้าจากสาธารณรัฐประชาชนจีน ชาวอเมริกันไม่ต้องแบกรับภาษีศุลกากรที่เพิ่มขึ้น แต่เป็นทางการจีนที่จะเป็นฝ่ายจ่ายเงินภาษีศุลกากรให้กับสหรัฐฯ พร้อมย้ำว่าที่ผ่านมารัฐบาลสหรัฐฯ ไม่เคยเรียกเก็บภาษีสินค้านำเข้าจากจีนแม้แต่น้อย
อย่างไรก็ดี ภาษีศุลกากรคือภาษีรูปแบบหนึ่ง ซึ่งผู้นำเข้าสินค้าจากต่างประเทศคือผู้แบกรับภาระ ไม่ใช่ผู้ส่งออกสินค้าจากต่างประเทศอย่างที่กล่าวอ้าง
นอกจากนี้ ผู้นำเข้าสินค้ามักจะกระจายภาระจากภาษีศุลกากรส่วนหนึ่งไปยังผู้บริโภค ผ่านการตั้งราคาสินค้าให้สูง ซึ่งส่งผลต่อรายได้ของประชาชนอย่างชัดเจน
รัฐบาลสหรัฐฯ เริ่มเก็บภาษีศุลกากรจากการนำเข้าสินค้าจากจีนมาตั้งแต่ปี 1789 คิดเป็นเงินมูลค่าหลายหมื่นล้านดอลลาร์สหรัฐฯ ต่อปี
เอริกา ยอร์ก จากสถาบัน Tax Foundation ยังเตือนว่า นโยบายภาษีศุลกากรตอบโต้ นอกจากจะไม่ช่วยลดความเหลื่อมล้ำทางการค้าระหว่างประเทศแล้ว ยังอาจลดศักยภาพการส่งออกสินค้าและบริการของสหรัฐฯ ไม่ว่าจากนโยบายภาษีศุลกากรตอบโต้ของนานาชาติหรือภาวะความผันผวนของเงินดอลลาร์สหรัฐฯ เช่นกัน


ข้อมูลอ้างอิง :
https://www.factcheck.org/2025/04/trumps-misleading-tariff-chart/
https://www.cbc.ca/news/business/trump-fake-tariff-rates-1.7501604
https://edition.cnn.com/2025/04/02/politics/fact-check-trump-tariffs-trade/index.html
https://ustr.gov/issue-areas/reciprocal-tariff-calculations
https://ustr.gov/countries-regions/southeast-asia-pacific/thailand
หากได้รับอะไรมา อย่าเพิ่งแชร์ต่อ ส่งมาตรวจสอบกับ “ศูนย์ชัวร์ก่อนแชร์”
LINE :: @SureAndShare หรือคลิก http://line.sure.guru
FB :: https://www.facebook.com/SureAndShare
YouTube :: https://www.youtube.com/@SureAndShare
Twitter :: https://www.twitter.com/SureAndShare
IG :: https://instagram.com/SureAndShare
Website :: http://www.ชัวร์ก่อนแชร์.com
TikTok :: https://www.tiktok.com/@sureandshare
สมัครรับฟรี ชัวร์ก่อนแชร์ Newsletter ส่งถึงกล่องอีเมลของคุณทุกสัปดาห์ :: https://i.sure.guru/sureandshareNewsletter